DIFFERENTIAL CALCULUS - Differentiability and methods of differentiation
"Take what you need, do what you should, you will get what you want". - LEIBNITZ
In this chapter we discuss the concept of derivative and related concepts and develop tools necessary for solving real life problems.
Differentiation is used to find the speed of the object,area of the surface,to determine maximum and minimum values of particular functions (e.g. cost, strength, amount of material used in a building, profit, loss, etc.). It is used to solve many real life problems and so on.
Differentiation is the easiest topic compared to Integral.
Here some of the basic differentiation Formulas :
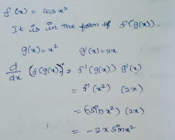
Example :
2. Differentiating a constant is zero.
Example:
Here 5 is a constant so differentiating any constant (numbers) becomes zero.
✍️✍️✍️✍️✍️
3. SUM RULE :
4. PRODUCT RULE :
5. QUOTIENT RULE :
Example :






